Actualites

danger-soleil-protection

Les dangers du soleil pour la peau

Nous le savons tous, une exposition au soleil prolongée sans protection est dangereuse pour la peau. Mais savez-vous exactement pourquoi les rayons lumineux sont délétères pour notre peau ? 

danger-soleil-protection

Les dangers du soleil pour la peau

Nous le savons tous, une exposition au soleil prolongée sans protection est dangereuse pour la peau. Mais savez-vous exactement pourquoi les rayons lumineux sont délétères pour notre peau ? 

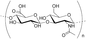
acide-hyaluronique

L'acide hyaluronique : l'ingrédient indispensab...

Devenu un incontournable de la médecine esthétique et des soins de beauté, l’acide hyaluronique est connu pour sa capacité à hydrater la peau en profondeur. Mais ce n’est pas sa...

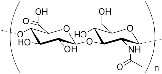
acide-hyaluronique

L'acide hyaluronique : l'ingrédient indispensab...

Devenu un incontournable de la médecine esthétique et des soins de beauté, l’acide hyaluronique est connu pour sa capacité à hydrater la peau en profondeur. Mais ce n’est pas sa...

MINIATURE YOUTUBE_PHOTORECEPTEURS

La lumière, source d'énergie : la photobiomodul...

Nous connaissons bien les effets des rayons lumineux sur les plantes et ce que l’on appelle photosynthèse, mais savez-vous que ce phénomène se produit également chez les êtres humains ?

MINIATURE YOUTUBE_PHOTORECEPTEURS_RESIZED

La lumière, source d'énergie : la photobiomodul...

Nous connaissons bien les effets des rayons lumineux sur les plantes et ce que l’on appelle photosynthèse, mais savez-vous que ce phénomène se produit également chez les êtres humains ?

préparer sa peau pour l'été

Préparer sa peau pour l'été

L’été est là ! Soleil, chaleur, sel, chlore… c’est sans doute lors de cette période de l’année que la peau est la plus exposée aux agressions extérieures !

préparer sa peau pour l'été

Préparer sa peau pour l'été

L’été est là ! Soleil, chaleur, sel, chlore… c’est sans doute lors de cette période de l’année que la peau est la plus exposée aux agressions extérieures !

portrait Chantal Lehmann site

Le massage tissulaire : une révolution ?

Massage shiatsu, ayurvédique, drainage lymphatique… nous l’avons bien compris, le massage sous toutes ses formes est aujourd’hui très tendance ! Mais pourquoi autant d’engouement autour de ce concept ? Et surtout, est-ce...

portrait Chantal Lehmann site

Le massage tissulaire : une révolution ?

Massage shiatsu, ayurvédique, drainage lymphatique… nous l’avons bien compris, le massage sous toutes ses formes est aujourd’hui très tendance ! Mais pourquoi autant d’engouement autour de ce concept ? Et surtout, est-ce...

Gigi-152

Holidermie x Lightinderm s'installe au Gigi à R...

Holidermie s’offre une résidence ensoleillée de 3 mois dans le sud de la France à côté du restaurant Gigi à Ramatuelle.

Gigi-152

Holidermie x Lightinderm s'installe au Gigi à R...

Holidermie s’offre une résidence ensoleillée de 3 mois dans le sud de la France à côté du restaurant Gigi à Ramatuelle.